سرگرمی جذاب پرگاس 21 سوال 385


راهنما
دعوت دوستان

سوال 385 | ۲۶ بهمن ۹۹

نام درس
هوش و استعداد تحلیلی
پایه تحصیلی
متوسطه اول
موضوع
رابطه ی اعداد
جایزه
10,000 شارژ کیف پول
درجه سختی
دشوار
زمان پاسخ دهی
2 دقیقه

نمایش نتایج

41

تعداد شرکت کنندگان

16

تعداد صحیح

25

تعداد نادرست

0:0:45

میانگین زمان پاسخ دهی


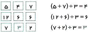
در شکل زیر، به جای علامت سؤال، کدام عدد را باید قرار داد؟

 

پاسخ

  

3

حل:

 

برنده مسابقهبهنوش کوهزاد

بهنوش کوهزاد

نفر 1 با 0:0:31
11 بار نفر اول
67 بار جواب صحیح
کمترین زمان: 0:0:5

ارسال دیدگاه