سرگرمی جذاب پرگاس 21 سوال 644


راهنما
دعوت دوستان

سوال 644 | ۰۹ آبان ۰۰

نام درس
ریاضی
پایه تحصیلی
متوسطه اول
موضوع
عددهای صحیح
جایزه
2,000 امتیاز
درجه سختی
متوسط
زمان پاسخ دهی
1 دقیقه

نمایش نتایج

21

تعداد شرکت کنندگان

9

تعداد صحیح

12

تعداد نادرست

0:0:38

میانگین زمان پاسخ دهی


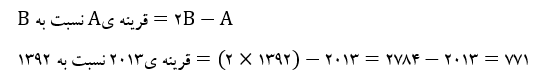
روی محور اعداد صحیح، قرینه‌ی عدد 2013 نسبت به عدد 1392 چه عددی است؟

پاسخ

  

771

 به صورت کلی برای به دست آوردن قرینه‌ی A نسبت به B باید A را از دو برابر B کم کنیم.


برنده مسابقهغزل غلام زاده

غزل غلام زاده

نفر 1 با 0:0:50
4 بار نفر اول
115 بار جواب صحیح
کمترین زمان: 0:0:4

ارسال دیدگاه