سرگرمی جذاب پرگاس 21 سوال 643


راهنما
دعوت دوستان

سوال 643 | ۰۸ آبان ۰۰

نام درس
ریاضی
پایه تحصیلی
متوسطه اول
موضوع
عددهای صحیح
جایزه
2,000 امتیاز
درجه سختی
متوسط
زمان پاسخ دهی
1 دقیقه

نمایش نتایج

24

تعداد شرکت کنندگان

7

تعداد صحیح

17

تعداد نادرست

0:0:34

میانگین زمان پاسخ دهی


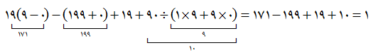
حاصل عبارت مقابل در کدام گزینه آمده است؟   

پاسخ

  

1



ارسال دیدگاه