سرگرمی جذاب پرگاس 21 سوال 28


راهنما
دعوت دوستان

سوال 28 | ۱۵ فروردین ۹۹

نام درس
ریاضی
پایه تحصیلی
متوسطه اول
موضوع
عددهای صحیح
جایزه
10,000 شارژ کیف پول
درجه سختی
دشوار
زمان پاسخ دهی
2 دقیقه

نمایش نتایج

16

تعداد شرکت کنندگان

6

تعداد صحیح

10

تعداد نادرست

0:0:35

میانگین زمان پاسخ دهی


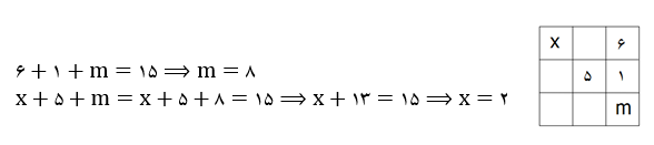
در مربع جادویی داده شده، مجموع اعداد هر سطر یا ستون یا قطر، 15 می‌باشد. مقدار برابر است با:
 

پاسخ

  

2



ارسال دیدگاه