سرگرمی جذاب پرگاس 21 سوال 410


راهنما
دعوت دوستان

سوال 410 | ۲۱ اسفند ۹۹

نام درس
ریاضی
پایه تحصیلی
متوسطه اول
موضوع
جبر و معادله
جایزه
1,000 امتیاز
درجه سختی
متوسط
زمان پاسخ دهی
2 دقیقه

نمایش نتایج

31

تعداد شرکت کنندگان

12

تعداد صحیح

19

تعداد نادرست

0:0:49

میانگین زمان پاسخ دهی


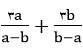
حاصل  معادل چیست؟

پاسخ

  

3

 با کمی دقت متوجه می‌شویم که(b-a=-(a-b.                                           
حالا منفی را برای کسر قرار می‌دهیم:                            
                               

ارسال دیدگاه