سرگرمی جذاب پرگاس 21 سوال 407


راهنما
دعوت دوستان

سوال 407 | ۱۸ اسفند ۹۹

نام درس
ریاضی
پایه تحصیلی
متوسطه اول
موضوع
جبر و معادله
جایزه
1,500 امتیاز
درجه سختی
متوسط
زمان پاسخ دهی
2 دقیقه

نمایش نتایج

43

تعداد شرکت کنندگان

13

تعداد صحیح

30

تعداد نادرست

0:0:53

میانگین زمان پاسخ دهی


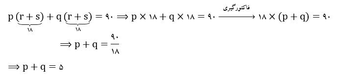
اگر باشد و ، آن‌گاه مقدار p+q کدام است؟

پاسخ

  

5

 ابتدا جمله‌ها را دوتا دوتا به حاصل ضرب تبدیل می‌کنیم:

در بالا توانستیم حاصل جمع‌ها را به حاصل ضرب تبدیل کنیم. به این کار «فاکتورگیری» می‌گویند.
برای فاکتورگیری فقط کافی است تک تک جمله‌ها را بر مقسوم علیه مشترکشان تقسیم کنیم و در پایان، جواب را به صورت حاصل ضرب مقسوم علیه مشترک و حاصل تقسیم جمله‌ها بنویسیم.
با توجه به این که می‌دانیم مقدار r+s ، 18 می‌شود، جایگذاری انجام می‌دهیم.


ارسال دیدگاه