سرگرمی جذاب پرگاس 21 سوال 378


راهنما
دعوت دوستان

سوال 378 | ۱۹ بهمن ۹۹

نام درس
هوش و استعداد تحلیلی
پایه تحصیلی
متوسطه اول
موضوع
رابطه ی اعداد
جایزه
10,000 شارژ کیف پول
درجه سختی
دشوار
زمان پاسخ دهی
2 دقیقه

نمایش نتایج

51

تعداد شرکت کنندگان

17

تعداد صحیح

34

تعداد نادرست

0:0:51

میانگین زمان پاسخ دهی


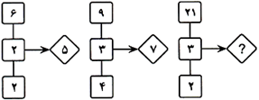
در هر یک از اشکال زیر، به جای علامت سؤال، کدام عدد را باید قرار داد؟

 

پاسخ

  

9

حل:

 

ارسال دیدگاه