سرگرمی جذاب پرگاس 21 سوال 373


راهنما
دعوت دوستان

سوال 373 | ۱۴ بهمن ۹۹

نام درس
ریاضی
پایه تحصیلی
متوسطه اول
موضوع
اعداد صحیح و گویا
جایزه
10,000 شارژ کیف پول
درجه سختی
متوسط
زمان پاسخ دهی
2 دقیقه

نمایش نتایج

38

تعداد شرکت کنندگان

1

تعداد صحیح

37

تعداد نادرست

0:1:11

میانگین زمان پاسخ دهی


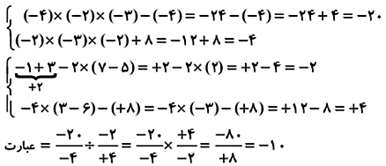
حاصل عبارت زیر کدام است؟
 
 

پاسخ

  

-10



ارسال دیدگاه