سرگرمی جذاب پرگاس 21 سوال 370


راهنما
دعوت دوستان

سوال 370 | ۱۱ بهمن ۹۹

نام درس
هوش و استعداد تحلیلی
پایه تحصیلی
متوسطه اول
موضوع
رابطه ی اعداد
جایزه
10,000 شارژ کیف پول
درجه سختی
دشوار
زمان پاسخ دهی
2 دقیقه

نمایش نتایج

37

تعداد شرکت کنندگان

17

تعداد صحیح

20

تعداد نادرست

0:0:37

میانگین زمان پاسخ دهی


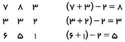
در شکل زیر، به جای علامت سؤال، کدام عدد را باید قرار داد؟

 

پاسخ

  

1

حل:

 

برنده مسابقهغزل غلام زاده

غزل غلام زاده

نفر 1 با 0:0:17
4 بار نفر اول
115 بار جواب صحیح
کمترین زمان: 0:0:4

ارسال دیدگاه