سرگرمی جذاب پرگاس 21 سوال 369


راهنما
دعوت دوستان

سوال 369 | ۱۰ بهمن ۹۹

نام درس
هوش و استعداد تحلیلی
پایه تحصیلی
متوسطه اول
موضوع
رابطه ی اعداد
جایزه
12,000 شارژ کیف پول
درجه سختی
دشوار
زمان پاسخ دهی
2 دقیقه

نمایش نتایج

49

تعداد شرکت کنندگان

3

تعداد صحیح

46

تعداد نادرست

0:1:13

میانگین زمان پاسخ دهی


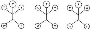
در شکل زیر، به جای علامت سؤال، کدام عدد را باید قرار داد؟

 

پاسخ

  

14

حل: در هر قسمت، عدد بالا میانگین چهار عدد دیگر است:

 

ارسال دیدگاه