سرگرمی جذاب پرگاس 21 سوال 15


راهنما
دعوت دوستان

سوال 15 | ۰۲ فروردین ۹۹

نام درس
ریاضی
پایه تحصیلی
متوسطه اول
موضوع
استدلال و اثبات در هندسه
جایزه
15,000 شارژ کیف پول
درجه سختی
دشوار
زمان پاسخ دهی
2 دقیقه

نمایش نتایج

6

تعداد شرکت کنندگان

3

تعداد صحیح

3

تعداد نادرست

0:0:41

میانگین زمان پاسخ دهی


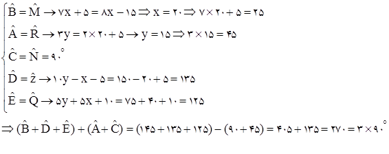
پنج ضلعی ABCDE با پنج ضلعی MNPQR همنهشت است. در این صورت مقدار  چند برابر قائمه است؟   

 

پاسخ

  

3

 



ارسال دیدگاه