سرگرمی جذاب پرگاس 21 سوال 333


راهنما
دعوت دوستان

سوال 333 | ۰۴ دی ۹۹

نام درس
هوش و استعداد تحلیلی
پایه تحصیلی
متوسطه اول
موضوع
رابطه ی اعداد
جایزه
10,000 شارژ کیف پول
درجه سختی
دشوار
زمان پاسخ دهی
2 دقیقه

نمایش نتایج

48

تعداد شرکت کنندگان

7

تعداد صحیح

41

تعداد نادرست

0:0:54

میانگین زمان پاسخ دهی


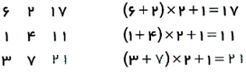
در شکل زیر، به جای علامت سؤال، کدام عدد را باید قرار داد؟

 

پاسخ

  

21

حل: اعداد ستون سمت راست از دو برابر مجموع اعداد دو ستون دیگر، یکی بیشتر است:

 

ارسال دیدگاه