سرگرمی جذاب پرگاس 21 سوال 198


راهنما
دعوت دوستان

سوال 198 | ۲۱ مرداد ۹۹

نام درس
ریاضی
پایه تحصیلی
متوسطه اول
موضوع
توان و ریشه
جایزه
10,000 شارژ کیف پول
درجه سختی
دشوار
زمان پاسخ دهی
1 دقیقه

نمایش نتایج

15

تعداد شرکت کنندگان

3

تعداد صحیح

12

تعداد نادرست

0:0:47

میانگین زمان پاسخ دهی


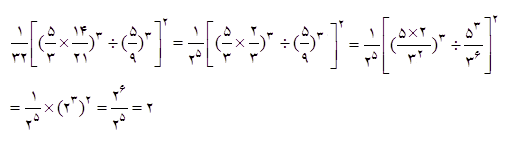
حاصل عبارت  کدام است؟                      

پاسخ

  

2



ارسال دیدگاه