سرگرمی جذاب پرگاس 21 سوال 182


راهنما
دعوت دوستان

سوال 182 | ۰۵ مرداد ۹۹

نام درس
ریاضی
پایه تحصیلی
متوسطه اول
موضوع
راهبردهای حل مسئله
جایزه
10,000 شارژ کیف پول
درجه سختی
متوسط
زمان پاسخ دهی
1 دقیقه

نمایش نتایج

15

تعداد شرکت کنندگان

4

تعداد صحیح

11

تعداد نادرست

0:0:45

میانگین زمان پاسخ دهی


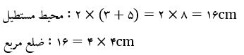
امیرعباس با یک تکه سیم، مستطیلی به طول 5 و عرض 3 سانتی‌متر ساخته است. اگر او با‌ این سیم یک مربع بسازد مساحت مربع چه قدر است؟

پاسخ

  

16

                   
                                       

ارسال دیدگاه