سرگرمی جذاب پرگاس 21 سوال 1025


راهنما
دعوت دوستان

سوال 1025 | ۲۴ آبان ۰۱

نام درس
ریاضی
پایه تحصیلی
متوسطه اول
موضوع
راهبردهای حل مسئله
جایزه
2,000 امتیاز
درجه سختی
متوسط
زمان پاسخ دهی
2 دقیقه

نمایش نتایج

0

تعداد شرکت کنندگان

0

تعداد صحیح

0

تعداد نادرست

0:0:0

میانگین زمان پاسخ دهی


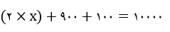
رویا برای خرید 3 مداد و 2 کتاب، یک اسکناس 10000 تومانی به فروشنده داد و 100 تومان پس گرفت. اگر قیمت هر مداد 300 تومان باشد، قیمت هر کتاب چند تومان است؟

پاسخ

  

4500

ابتدا پولی که رویا بابت خرید 3 مداد خرج کرده است را حساب می‌کنیم.    
حالا قیمت هر کتاب را با حرف x نمایش می‌دهیم.                                   
برای به دست آوردن   باید 900 را با 100 جمع کرده و از 10000 کم کنیم.

می دانیم قیمت 2 کتاب 9000 شده است. بنابراین با تقسیم 9000 بر 2، قیمت یک جلد کتاب به دست می‌آید.

ارسال دیدگاه