سرگرمی جذاب پرگاس 21 سوال 1018


راهنما
دعوت دوستان

سوال 1018 | ۱۷ آبان ۰۱

نام درس
هوش و استعداد تحلیلی
پایه تحصیلی
متوسطه اول
موضوع
رابطه ی اعداد
جایزه
2,000 امتیاز
درجه سختی
دشوار
زمان پاسخ دهی
2 دقیقه

نمایش نتایج

0

تعداد شرکت کنندگان

0

تعداد صحیح

0

تعداد نادرست

0:0:0

میانگین زمان پاسخ دهی


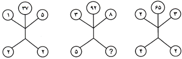
در هر یک از اشکال زیر، به جای علامت سؤال، کدام عدد را باید قرار داد؟

 

پاسخ

  

4

حل:

 

ارسال دیدگاه