سرگرمی جذاب پرگاس 21 سوال 962


راهنما
دعوت دوستان

سوال 962 | ۲۲ شهریور ۰۱

نام درس
ریاضی
پایه تحصیلی
متوسطه اول
موضوع
عددهای صحیح
جایزه
2,000 امتیاز
درجه سختی
متوسط
زمان پاسخ دهی
1 دقیقه

نمایش نتایج

4

تعداد شرکت کنندگان

3

تعداد صحیح

1

تعداد نادرست

0:0:30

میانگین زمان پاسخ دهی


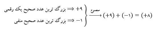
مجموع بزرگ‌ترین عدد صحیح یک رقمی و بزرگ‌ترین عدد صحیح منفی کدام است؟

پاسخ

  

8



ارسال دیدگاه