سرگرمی جذاب پرگاس 21 سوال 175


راهنما
دعوت دوستان

سوال 175 | ۲۹ تیر ۹۹

نام درس
هوش و استعداد تحلیلی
پایه تحصیلی
متوسطه اول
موضوع
رابطه ی اعداد
جایزه
10,000 شارژ کیف پول
درجه سختی
دشوار
زمان پاسخ دهی
1 دقیقه

نمایش نتایج

9

تعداد شرکت کنندگان

3

تعداد صحیح

6

تعداد نادرست

0:0:46

میانگین زمان پاسخ دهی


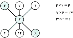
در شکل زیر، به جای علامت سؤال، کدام عدد را باید قرار داد؟

 

پاسخ

  

6

حل:

 

ارسال دیدگاه