سرگرمی جذاب پرگاس 21 سوال 900


راهنما
دعوت دوستان

سوال 900 | ۲۳ تیر ۰۱

نام درس
ریاضی
پایه تحصیلی
متوسطه اول
موضوع
جبر و معادله
جایزه
2,000 امتیاز
درجه سختی
متوسط
زمان پاسخ دهی
1 دقیقه

نمایش نتایج

3

تعداد شرکت کنندگان

3

تعداد صحیح

0

تعداد نادرست

0:0:30

میانگین زمان پاسخ دهی


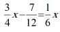
پاسخ معادله  در کدام گزینه آمده است؟
 

پاسخ

  

1

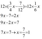
ابتدا دو طرف معادله را در ک.م.م مخرج ها که عدد 12 می شود ضرب می کنیم


ارسال دیدگاه