سرگرمی جذاب پرگاس 21 سوال 787


راهنما
دعوت دوستان

سوال 787 | ۰۳ فروردین ۰۱

نام درس
ریاضی
پایه تحصیلی
متوسطه اول
موضوع
راهبردهای حل مسئله
جایزه
2,000 امتیاز
درجه سختی
متوسط
زمان پاسخ دهی
2 دقیقه

نمایش نتایج

7

تعداد شرکت کنندگان

4

تعداد صحیح

3

تعداد نادرست

0:0:20

میانگین زمان پاسخ دهی


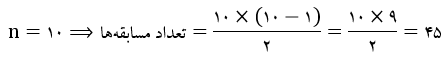
اگر 10 نفر دوبه دو با هم مسابقه‌ی تنیس روی میز بدهند، چند مسابقه اتفاق می‌افتد؟

پاسخ

  

45

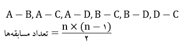
مسئله‌ی ساده‌تر: اگر سه نفر دوبه دو با هم مسابقه بدهند، چند مسابقه اتفاق می‌افتد؟
هر نفر دو مسابقه می‌دهد و   ولی چون هر مسابقه برای هر نفر از مسابقه دهندگان حساب می‌شود، مجموعاً سه مسابقه انجام می‌شود.

حالا با 4 نفر حساب کنیم. هر نفر 3 مسابقه می‌دهد، یعنی یکی کمتر از تعداد تیم‌ها و در پایان باید تعداد همه‌ی مسابقه‌ها را نصف کنیم.

پس تعداد مسابقه‌ها نصف حاصل ضرب تعداد تیم‌ها در یکی کمتر است.


ارسال دیدگاه