سرگرمی جذاب پرگاس 21 سوال 695


راهنما
دعوت دوستان

سوال 695 | ۳۰ آذر ۰۰

نام درس
ریاضی
پایه تحصیلی
متوسطه اول
موضوع
اعداد صحیح و گویا
جایزه
2,000 امتیاز
درجه سختی
متوسط
زمان پاسخ دهی
1 دقیقه

نمایش نتایج

11

تعداد شرکت کنندگان

7

تعداد صحیح

4

تعداد نادرست

0:0:26

میانگین زمان پاسخ دهی


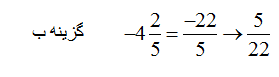
قرینه معکوس عدد       چیست؟
 

پاسخ

  

5/22



ارسال دیدگاه