سرگرمی جذاب پرگاس 21 سوال 690


راهنما
دعوت دوستان

سوال 690 | ۲۵ آذر ۰۰

نام درس
ریاضی
پایه تحصیلی
متوسطه اول
موضوع
جبر و معادله
جایزه
2,000 امتیاز
درجه سختی
آسان
زمان پاسخ دهی
1 دقیقه

نمایش نتایج

12

تعداد شرکت کنندگان

6

تعداد صحیح

6

تعداد نادرست

0:0:36

میانگین زمان پاسخ دهی


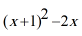
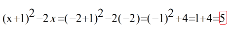
مقدار عددی به ازای برابر است با:
 

پاسخ

  

5



ارسال دیدگاه