سرگرمی جذاب پرگاس 21 سوال 685


راهنما
دعوت دوستان

سوال 685 | ۲۰ آذر ۰۰

نام درس
ریاضی
پایه تحصیلی
متوسطه اول
موضوع
جبر و معادله
جایزه
2,000 امتیاز
درجه سختی
متوسط
زمان پاسخ دهی
1 دقیقه

نمایش نتایج

17

تعداد شرکت کنندگان

14

تعداد صحیح

3

تعداد نادرست

0:0:31

میانگین زمان پاسخ دهی


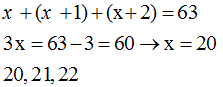
حاصل جمع سه عدد متوالی 63 است. عدد وسط کدام است؟                                                                                                                                
    

پاسخ

  

21

 

ارسال دیدگاه