سرگرمی جذاب پرگاس 21 سوال 558


راهنما
دعوت دوستان

سوال 558 | ۱۵ مرداد ۰۰

نام درس
ریاضی
پایه تحصیلی
متوسطه اول
موضوع
هندسه و استدلال
جایزه
2,000 امتیاز
درجه سختی
آسان
زمان پاسخ دهی
1 دقیقه

نمایش نتایج

18

تعداد شرکت کنندگان

9

تعداد صحیح

9

تعداد نادرست

0:0:27

میانگین زمان پاسخ دهی


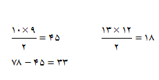
  روی خطی، 10 نقطه مشخص کرده‌ ایم. اگر به تعداد نقاط 3 نقطه اضافه کنیم، به تعداد پاره‌ خـط‌ها چنـد تـا اضافه می ‌شود؟
 

پاسخ

  

33

    

ارسال دیدگاه