سرگرمی جذاب پرگاس 21 سوال 516


راهنما
دعوت دوستان

سوال 516 | ۰۴ تیر ۰۰

نام درس
ریاضی
پایه تحصیلی
متوسطه اول
موضوع
هندسه و استدلال
جایزه
1,100 امتیاز
درجه سختی
متوسط
زمان پاسخ دهی
2 دقیقه

نمایش نتایج

14

تعداد شرکت کنندگان

10

تعداد صحیح

4

تعداد نادرست

0:0:49

میانگین زمان پاسخ دهی


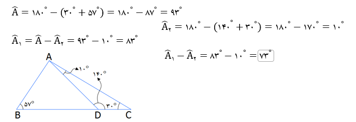
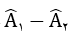
در شکل مقابل،  چه قدر است؟

پاسخ

  

73



برنده مسابقهبهنوش کوهزاد

بهنوش کوهزاد

نفر 1 با 0:1:33
11 بار نفر اول
67 بار جواب صحیح
کمترین زمان: 0:0:5

ارسال دیدگاه