سرگرمی جذاب پرگاس 21 سوال 420


راهنما
دعوت دوستان

سوال 420 | ۰۱ فروردین ۰۰

نام درس
ریاضی
پایه تحصیلی
متوسطه اول
موضوع
هندسه و استدلال
جایزه
1,000 امتیاز
درجه سختی
متوسط
زمان پاسخ دهی
3 دقیقه

نمایش نتایج

30

تعداد شرکت کنندگان

4

تعداد صحیح

26

تعداد نادرست

0:1:26

میانگین زمان پاسخ دهی


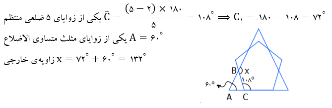
در شکل زیر، یک مثلث متساوی‌الاضلاع و یک پنج ضلعی با اضلاع مساوی دیده می‌شود. اندازه‌ی زاویه‌ی x  کدام است؟  

پاسخ

  

132

 


ارسال دیدگاه