1. خانه
  2. رفع اشکال درسی
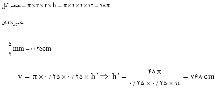
  3. رفع اشکال ریاضی هفتم سطح وحجم ریاضی هفتم متوسطه | سطح و حجم

رفع اشکال ریاضی هفتم سطح وحجم ریاضی هفتم متوسطه | سطح و حجم


ارسال شده در تاریخ: ۱۸:۴۹ ۱۴۰۰/۰۲/۱۷

ارسال دیدگاه